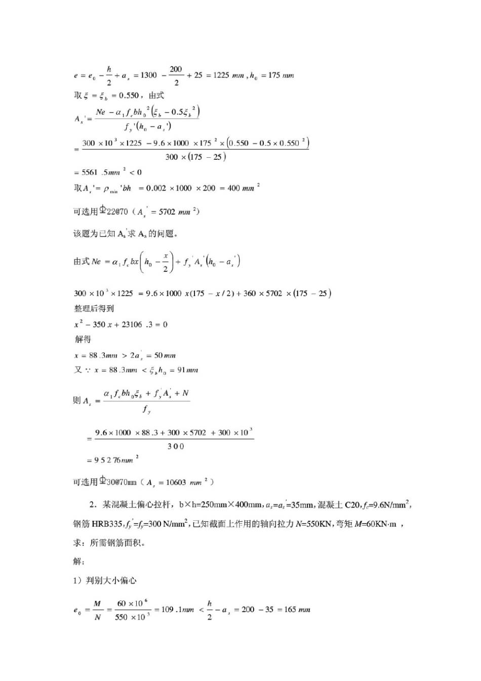
武汉理工大学《混凝土结构设计原理》课后习题及答案(55)

本站小编 免费考研网/2016-08-24


相关话题/混凝土