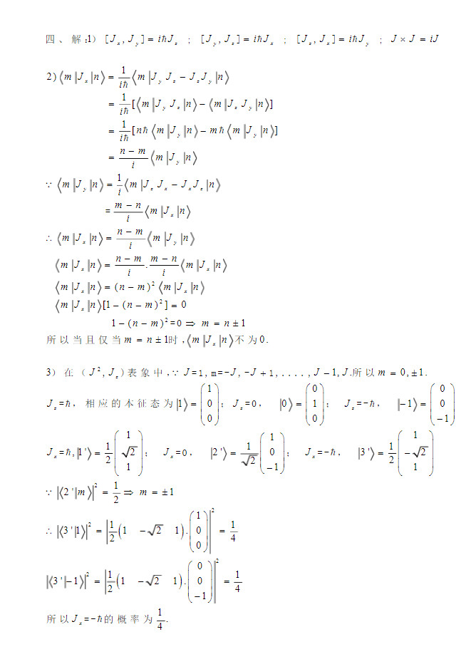
2012中国科学院量子力学考研真题解答(3)
本站小编 免费考研网/2016-04-06
相关话题/量子力学
2016年南京大学物理学院量子力学考研试题
专业课考研资料 本站小编 免费考研网 2016-01-03山东大学2012量子力学考研试题
专业课考研资料 本站小编 免费考研网 2015-11-27北京师范大学量子力学2013年期末试题
专业课考研资料 本站小编 免费考研网 2015-07-16北京理工大学2009-2010量子力学与电动力学考试试题
专业课考研资料 本站小编 免费考研网 2015-07-14西南交通大学2003量子力学考研真题
专业课考研资料 本站小编 网络资源 2015-07-14湖北文理学院2011—2012学年度下学期物理系物理学专业 《量子力学》期末考试试卷A
专业课考研资料 本站小编 网络资源 2015-07-10湖北文理学院2011—2012学年度下学期物理学系物理专业 《量子力学》期末考试试卷B
专业课考研资料 本站小编 网络资源 2015-07-10华中师范大学2004 –2005学年第二学期量子力学期末考试试卷(B卷)
专业课考研资料 本站小编 免费考研网 2015-07-01中国科学技术大学2003-2012年考研量子力学试卷带详细答案
百度云下载地址链接:http://pan.baidu.com/s/1dinqY 密码:x6xu ...专业课考研资料 本站小编 免费考研网 2015-07-01中国科学院2004-2011年考研量子力学试卷及详细参考答案
专业课考研资料 本站小编 免费考研网 2015-07-01

