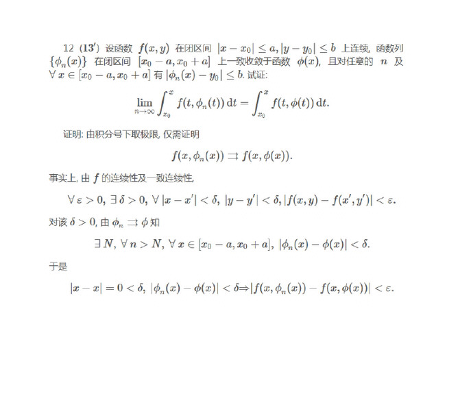
华南理工大学2013年数学分析考研试题参考解答(5)
本站小编 免费考研网/2016-01-04
相关话题/数学分析
北京大学2016数学分析、高等代数考研真题
专业课考研资料 本站小编 免费考研网 2016-01-01厦门大学2016数学分析考研真题
专业课考研资料 本站小编 免费考研网 2016-01-01南开大学2016数学分析考研真题
专业课考研资料 本站小编 免费考研网 2016-01-01北京大学2016数学分析考研真题
专业课考研资料 本站小编 免费考研网 2015-12-27西北大学2010年数学分析考研真题(附答案)
专业课考研资料 本站小编 免费考研网 2015-11-10西北大学2009年数学分析硕士学位研究生试题及答案
专业课考研资料 本站小编 免费考研网 2015-11-10南京大学2008年和2009年数学分析考研试题及解答
专业课考研资料 本站小编 免费考研网 2015-11-10华东师范大学2008考研试卷(数学分析)
专业课考研资料 本站小编 网络资源 2015-07-142005年南开大学数学分析试题答案
专业课考研资料 本站小编 免费考研网 2015-07-142006年武汉大学数学分析考研试题
专业课考研资料 本站小编 网络资源 2015-07-14

