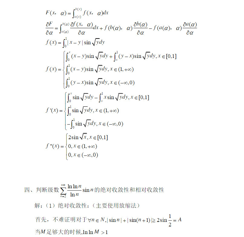
武汉大学2005数学分析试题解答(3)
本站小编 免费考研网/2015-07-14
相关话题/武汉大学 数学分析
湖南师范大学2004-2005高等代数数学分析考研真题
专业课考研资料 本站小编 网络资源 2015-07-14湖南师范大学2006年数学分析考研真题
专业课考研资料 本站小编 网络资源 2015-07-14湖南师范大学2008年数学分析考研真题
专业课考研资料 本站小编 网络资源 2015-07-14湖南师范大学2009年数学分析考研真题
专业课考研资料 本站小编 网络资源 2015-07-14武汉理工大学2002-2010年602数学分析考研试题
专业课考研资料 本站小编 网络资源 2015-07-08武汉大学给排水概论重点词汇
给排水概论重点词汇 加粗为有2、3人以上同学勾画的重点,未加粗为1人勾画的重点,由于统计人数、时间有限,未免有遗漏,请大家来完善~ 词汇来源为老师所给的《GBT 50125-2010 给水排水工程基本术语标准》电子版。 2.0.1-2.0.37 给水工程旱流污水 (生活污水,合流污水,雨水利用,再生水,杂用水,) 2. ...专业课考研资料 本站小编 免费考研网 2015-07-01武汉大学物理化学PPT习题整理简洁版
专业课考研资料 本站小编 免费考研网 2015-07-01武汉大学分子生物学题库
GLOSSARY Abundance of an mRNA is the average number of molecules per cell. Abundant mRNAs consist of a small number of individual species, each present in a large number of copies per cell. Acceptor splicing sitesee right splicing junction. Acentric fragment of a chromosome (generated by ...专业课考研资料 本站小编 免费考研网 2015-06-212010-2013武汉大学MSW社会工作考研真题
2013武汉大学社会工作真题 社会工作原理 一、概念辨析(共5题,每题12分,共60分) 1、社会工作者和志愿者 2、社会工作的正价值和反价值、 3、社会工作的増权理论 4、我国社会工作的专业价值和专业伦理 5、小组工作的社会目标模式和治疗模式 二、简答题(共5题,每小题12分,共60分) 1、合理的社会 ...社会工作硕士 本站小编 免费考研网 2015-06-17扬州大学2008,2004-2003数学分析高等代数考研真题
专业课考研资料 本站小编 免费考研网 2015-06-17

