- 专业课考研资料 本站小编 网络资源 2015-07-10
- 专业课考研资料 本站小编 免费考研网 2015-07-01

百度云下载地址链接:http://pan.baidu.com/s/1dinqY 密码:x6xu ...
专业课考研资料 本站小编 免费考研网 2015-07-01- 专业课考研资料 本站小编 免费考研网 2015-07-01
- 专业课考研资料 本站小编 免费考研网 2015-07-01
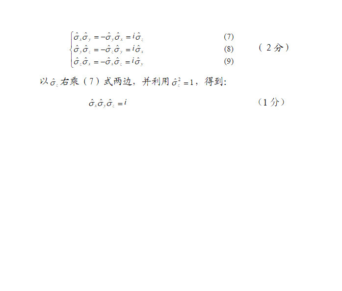
量子力学教案
主讲
周宙安
《量子力学》课程主要教材及参考书
1、教材:
周世勋,《量子力学教程》,高教出版社,19792、主要参考书:
[1]钱伯初,《量子力学》,电子工业出版社,1993
[2]曾谨言,《量子力学》卷I,第三版,科学出版社,2000[3]曾谨言,《量子力学导论》,科学出版社,2003
[4]钱伯初,《量子力学基 ...
专业课考研资料 本站小编 免费考研网 2015-06-29- 专业课考研资料 本站小编 免费考研网 2015-06-29
2011年华中科技大学量子力学考研真题 ...
专业课考研资料 本站小编 免费考研网 2015-05-24一,简答题
1, 波尔在当初建立原子光谱理论时作了哪些基本假设?该理论在解决实际问题时遇到困难,原因何在?德布罗意又是如何解决这些问题的?
2, 什么是波函数的统计解释?简要说明波函数和它所描述的粒子之间的关系 3, 用量子力学的角度说明电子的意义
4, 以能量这个力学量为例,简要说明能量算符和能量之间的 ...
专业课考研资料 本站小编 免费考研网 2015-05-24一、
简答题(30分)
1, (x),丨(x)丨2
的含义
2, 波函数的几个条件
3, 基态,束缚态,简并态,偶宇称态,散射态,态密度。
4, 算符,可测量量用什么算符表示,为什么用算符表示力学量算符? 5, 定态,守恒量,好量子数。
6, 斯塔克效应,简单塞曼效应,复杂塞曼效应,光谱精细结构 ...
专业课考研资料 本站小编 免费考研网 2015-05-24