青岛大学2006-2011高等数学期末考试试题答案(5)

本站小编 网络资源/2015-07-09


相关话题/青岛大学 高等数学

  • 领限时大额优惠券,享本站正版考研考试资料!
    大额优惠券
    优惠券领取后72小时内有效,10万种最新考研考试考证类电子打印资料任你选。涵盖全国500余所院校考研专业课、200多种职业资格考试、1100多种经典教材,产品类型包含电子书、题库、全套资料以及视频,无论您是考研复习、考证刷题,还是考前冲刺等,不同类型的产品可满足您学习上的不同需求。 ...
    本站小编 Free壹佰分学习网 2022-09-19
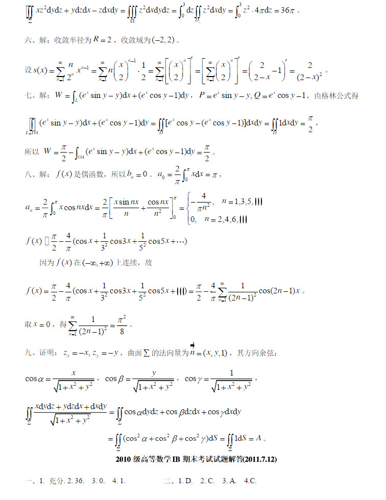
  • 青岛大学2006-2011高等数学期末考试试题
    本站小编 网络资源 2015-07-09
  • 2013年贵州大学高等数学1-2期末考试试卷
    本站小编 免费考研网 2015-06-22
  • 2016考研高等数学之极限三大计算法则
      今天,跨考教育数学教研室佟庆英老师带大家复习极限的计算单侧极限,夹逼定理和单调有界收敛定理。  为什么会有单侧极限这种极限计算方法,是因为在x,xa包括x+和x-,xa+和xa-,而不同的趋近,极限趋近值也不相 同,因此需要分别计算左右极限 ...
    本站小编 跨考教育 2015-06-22
  • 考研高等数学中恒等变形的三种形式
    考研数学在公共课中占的分数是很高的,而高等数学又是考研数学中占有很大比重的一门学科。在此,跨考教育吴方方老师就考研数学高数中出现的恒等变形方法和大家探讨其三种分类形式。  第一种形式;加减乘除。所谓的加减乘除就是在所要求的式子中加一项,然后再减一项,使得所得到的式子和原式恒等。这种情况 ...
    本站小编 新浪教育 2015-05-12
  • 2016考研数学:高等数学备考易错点
      考研数学复习中,能够把握好一些高频易错知识点的话,可以帮助我们更进一步深刻理解知识点,并且提高做题的效率和准确度。老师大致总结了一些高等数学前两章内容当中容易出现的错误点,希望考研的同学复习数学有所帮助。  1.函数连续是函数极限存在的充分条件。若函数在某点连续,则该函数在该点必有极限。若函数在某 ...
    本站小编 文都教育 2015-05-12
  • 2016考研数学:高等数学复习攻略
     2015年考研数学刚刚结束,奋战2016年考研的帷幕已经拉开,又一个不平凡的四季来临,新一轮考研历程也开始叙写它的篇章。考研的各门科目 中,考研数学考试综合性强、知识覆盖面广、难度大,应及早复习为佳。与英语相比,考研数学只要方法得当,提高分数相对要快一些。高等数学是考研数学内容最 多的一部分,所以高等数学的 ...
    本站小编 海文教育 2015-04-24
  • 2016考研高等数学:基础阶段夯实基础
     纵观2015年研究生入学考试题目竟然高达90%的题目都是基础题,可以说只要掌握基础的解题技巧、解题方法,今年的考试拿到120分应该不成问 题。现在大部分考生都是在校生,所以这个寒假也是一个前期复习的最佳时机。同时,很多同学对现在基础阶段数学该如何复习,高数该从哪里入手学习之类的问题 较为迷茫,跨考教育数学教研 ...
    本站小编 跨考教育 2015-04-24
  • 高等数学考研基础阶段:复习计划须周密
     万丈高楼平地起,学习亦是如此。纵观2015年研究生入学考试题目竟然高达90%的题目都是基础题,可以说只要掌握基础的解题技巧、解题方法,今 年的考试拿到120分应该不成问题。现在大部分考生都是在校生,所以这个寒假也是一个前期复习的最佳时机。同时,很多同学对现在基础阶段数学该如何复习, 高数该从哪里入手学习之类的 ...
    本站小编 跨考教育 2015-04-24
  • 考研数学之高等数学的复习方法
    考研数学中,高数、线代、概率论每个学科都有其本身的特点,相应的复习策略也有不同,现在主要看一下高等数学的复习。  高等数学主要有三个特点,一、它是考研数学中的重头戏,它所占的比例是最大的:数一、三中占56%,数二中高达78%,这也就意味着对于数学的复习至少要把2/3的时间都放到高等数学上。二、难点多,考生区分度大。高等数学有400多个考点,考点多就意味着它的难点多;同时这个学科也是考生区分度最大的学科,也就是说最终大家数学分数的高低一定是和自己高等数学的水平成正比的,所以大家要想通过高等数学来给自己提分的话就一定要注重高等数学。三、是其他学科的基础。从知识上而言,它是概率论与数理统计的基础,概率论中会用到 ...
    本站小编 中公教育 2015-01-02
  • 二战考研:高等数学理解熟悉扩展三部曲
    我们都知道不论是数学一,数学二,数学三还是396经济学联考数学,高等数学部分所占的比重是最大的。所以,针对二战考生,跨考教育数学教研室向喆老师提醒,大家更要注意怎么把高等数学学习好,拿到高分。  在具体的辅导之前,要提醒大家一个注意点。线代和概率也很重要,但是高等数学涉及的方法,原理,概念是这三块中最不好掌握的一块。所以,主要说下二战考生怎么具体的把高等数学复习好。向喆老师从三个部分来说明。首先是基本概念(理解的程度);然后是基本理论(熟悉的程度);最后是基本方法(扩展的程度)。  1.基本概念(理解的程度)  在这里强调一下,因为是具体的辅导,所以是针对微观的怎么学习进行指导,至于说心态等其它的问题大家可 ...
    本站小编 跨考教育 2014-12-20