
百度云下载地址链接:http://pan.baidu.com/s/1dinqY 密码:x6xu ...
专业课考研资料 本站小编 免费考研网 2015-07-01- 专业课考研资料 本站小编 免费考研网 2015-07-01
- 专业课考研资料 本站小编 免费考研网 2015-07-01
- 专业课考研资料 本站小编 免费考研网 2015-06-30
- 专业课考研资料 本站小编 免费考研网 2015-06-30
- 专业课考研资料 本站小编 免费考研网 2015-06-30
- 专业课考研资料 本站小编 免费考研网 2015-06-29
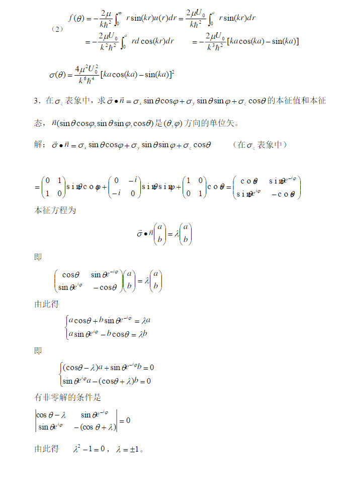
量子力学教案
主讲
周宙安
《量子力学》课程主要教材及参考书
1、教材:
周世勋,《量子力学教程》,高教出版社,19792、主要参考书:
[1]钱伯初,《量子力学》,电子工业出版社,1993
[2]曾谨言,《量子力学》卷I,第三版,科学出版社,2000[3]曾谨言,《量子力学导论》,科学出版社,2003
[4]钱伯初,《量子力学基 ...
专业课考研资料 本站小编 免费考研网 2015-06-29- 专业课考研资料 本站小编 免费考研网 2015-06-29
14《人文地理》
一、名词解释(10*5)
雾霾、树线、冰芯、极锋、风暴潮、红树林、大陆度、地面有效辐射、化学风化、Bergman定律
二、简答(9选6 6*10)
1、土壤温度的变化规律
2、沉积岩层面构造的类型及各自沉积形成的环境
3、荒漠的类型及各类型的空间分布关系
4、海上明月共潮生江流婉转绕芳 ...
专业课考研资料 本站小编 免费考研网 2015-06-21