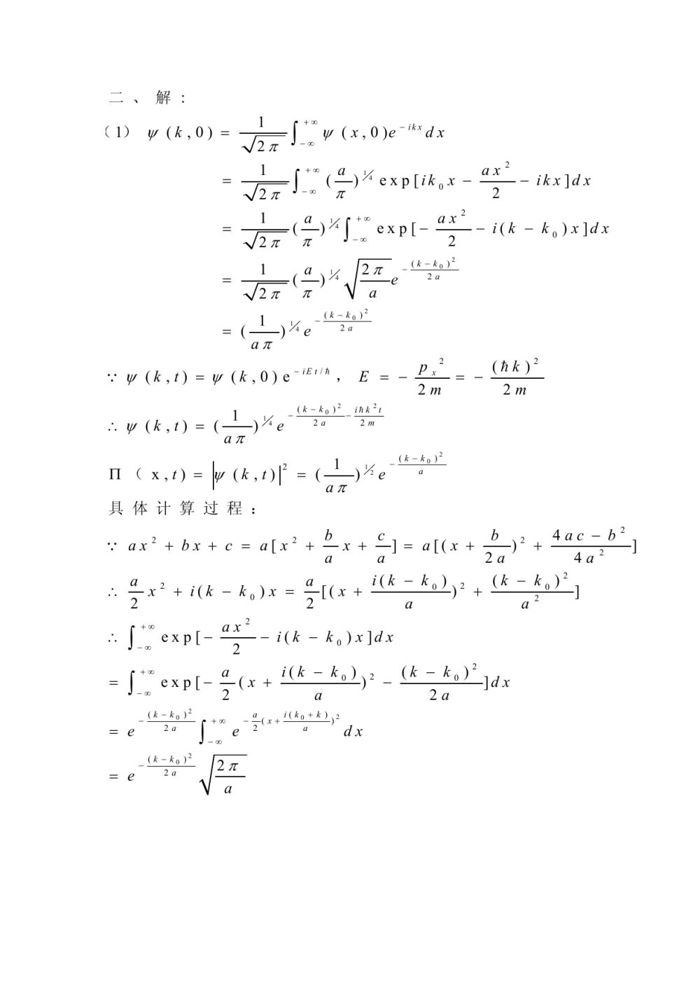
中科院2011-2014年考研量子力学试题及解答(13)

本站小编 免费考研网/2015-07-01


相关话题/量子力学