第一章 矢量分析
1、方向导数和梯度的概念;方向导数和梯度的关系;直角坐标系中方向导数和梯度的表达式。
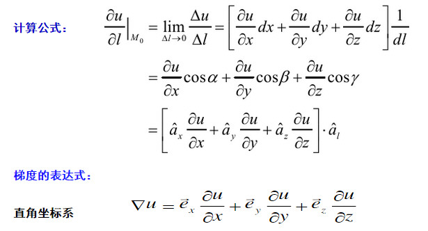
梯度是一个矢量。标量场u在某点梯度的模等于该点的最大方向 导数,方向为该点具有最大方向导数的方向。记为gradu
方向导数:标量场u自某点沿某一方向上的变化率
标量场u在给定点沿某个方向上的方向导数,是梯度在该方向上的投影。

第一章 矢量分析
1、方向导数和梯度的概念;方向导数和梯度的关系;直角坐标系中方向导数和梯度的表达式。
梯度是一个矢量。标量场u在某点梯度的模等于该点的最大方向 导数,方向为该点具有最大方向导数的方向。记为gradu
方向导数:标量场u自某点沿某一方向上的变化率
标量场u在给定点沿某个方向上的方向导数,是梯度在该方向上的投影。
