
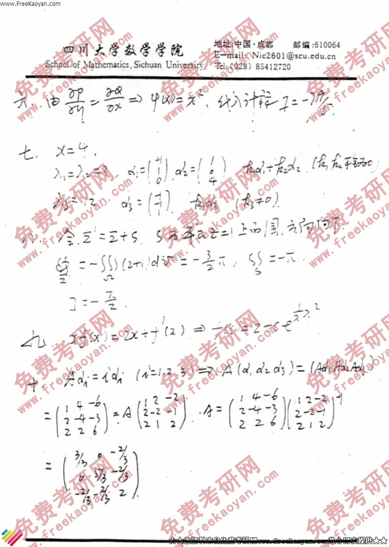
四川大学2005年考研真题-数学(有答案)(6)
本站小编 FreeKaoyan/2018-01-22

相关话题/考研真题 数学 四川大学 答案
四川大学2005年考研真题-数据结构复试题及导师名单(有答案,综合卷)
专业课考研经验 本站小编 FreeKaoyan 2018-01-22四川大学2005年考研真题-世界中世纪史
专业课考研经验 本站小编 FreeKaoyan 2018-01-22四川大学2005年考研真题-世界近现代史
专业课考研经验 本站小编 FreeKaoyan 2018-01-22四川大学2005年考研真题-世界近现代史-专门史,中国近现代史
专业课考研经验 本站小编 FreeKaoyan 2018-01-22四川大学2005年考研真题-生物化学
专业课考研经验 本站小编 FreeKaoyan 2018-01-22四川大学2005年考研真题-生物学
专业课考研经验 本站小编 FreeKaoyan 2018-01-22四川大学2005年考研真题-鞣制化学
专业课考研经验 本站小编 FreeKaoyan 2018-01-22四川大学2005年考研真题-设计史论
专业课考研经验 本站小编 FreeKaoyan 2018-01-22四川大学2005年考研真题-普通心理学与心理学史
专业课考研经验 本站小编 FreeKaoyan 2018-01-22四川大学2005年考研真题-染整工程
专业课考研经验 本站小编 FreeKaoyan 2018-01-22四川大学2005年考研真题-农药学(分析化学)
专业课考研经验 本站小编 FreeKaoyan 2018-01-22四川大学2005年考研真题-普通物理
专业课考研经验 本站小编 FreeKaoyan 2018-01-22四川大学2005年考研真题-民商法学1
专业课考研经验 本站小编 FreeKaoyan 2018-01-22四川大学2005年考研真题-民商法学2
专业课考研经验 本站小编 FreeKaoyan 2018-01-22四川大学2005年考研真题-旅游学概论
专业课考研经验 本站小编 FreeKaoyan 2018-01-22
