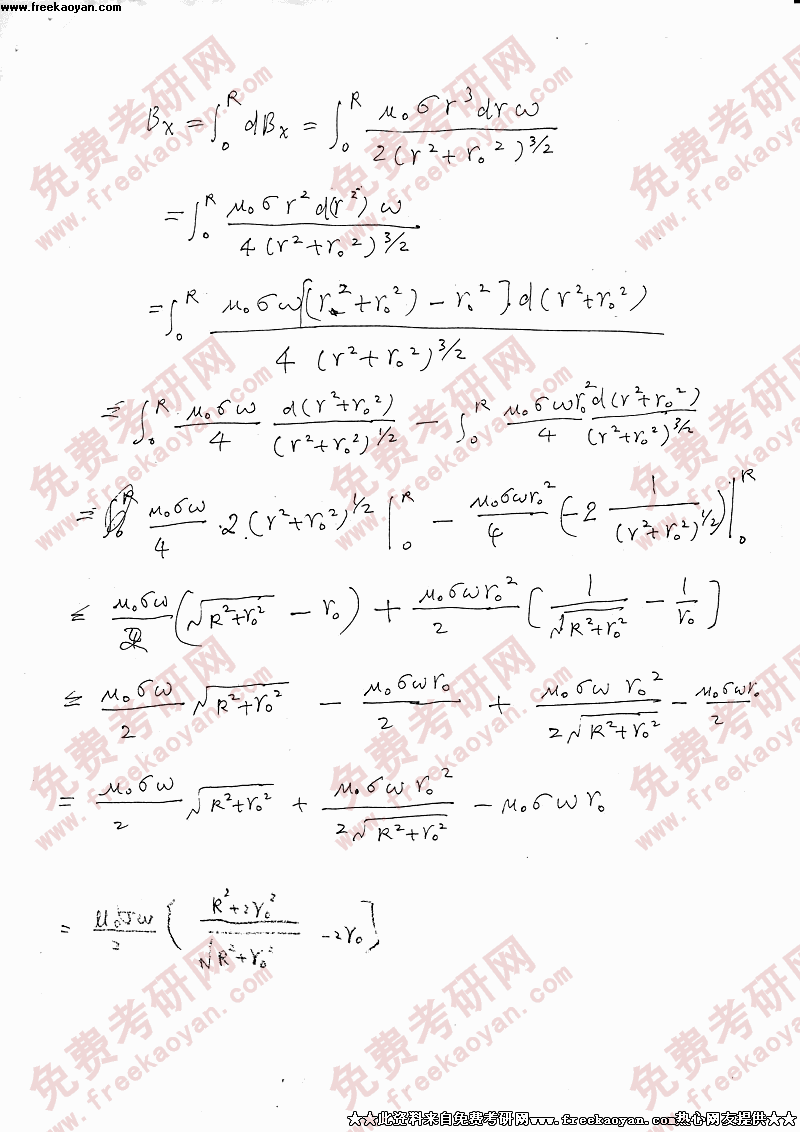
中国科学技术大学2004年考研真题-普通物理答案
本站小编 FreeKaoyan/2018-01-22
相关话题/考研真题 普通物理 中国科学技术大学 答案
中国科学技术大学2004年考研真题-物理化学答案
专业课考研经验 本站小编 FreeKaoyan 2018-01-22中国科学技术大学2004年考研真题-物理化学
专业课考研经验 本站小编 FreeKaoyan 2018-01-22中国科学技术大学2004年考研真题-微生物学
专业课考研经验 本站小编 FreeKaoyan 2018-01-22中国科学技术大学2004年考研真题-生物化学答案
专业课考研经验 本站小编 FreeKaoyan 2018-01-22中国科学技术大学2004年考研真题-计算机技术基础答案
专业课考研经验 本站小编 FreeKaoyan 2018-01-22中国科学技术大学2004年考研真题-微机原理答案
专业课考研经验 本站小编 FreeKaoyan 2018-01-22中国科学技术大学2004年考研真题-量子力学答案
专业课考研经验 本站小编 FreeKaoyan 2018-01-22中国科学技术大学2004年考研真题-物理化学B答案
专业课考研经验 本站小编 FreeKaoyan 2018-01-22中国科学技术大学2004年考研真题-电动力学A答案
专业课考研经验 本站小编 FreeKaoyan 2018-01-22中国科学技术大学2004年考研真题-原子物理答案
专业课考研经验 本站小编 FreeKaoyan 2018-01-22中国科学技术大学2004年考研真题-电子线路答案
专业课考研经验 本站小编 FreeKaoyan 2018-01-22中国科学技术大学2004年考研真题-固体物理答案
专业课考研经验 本站小编 FreeKaoyan 2018-01-22中国科学技术大学2004年考研真题-普通化学答案
专业课考研经验 本站小编 FreeKaoyan 2018-01-22中国科学技术大学2004年考研真题-分析化学答案
专业课考研经验 本站小编 FreeKaoyan 2018-01-22中国科学技术大学2004年考研真题-无机化学答案
专业课考研经验 本站小编 FreeKaoyan 2018-01-22
