|
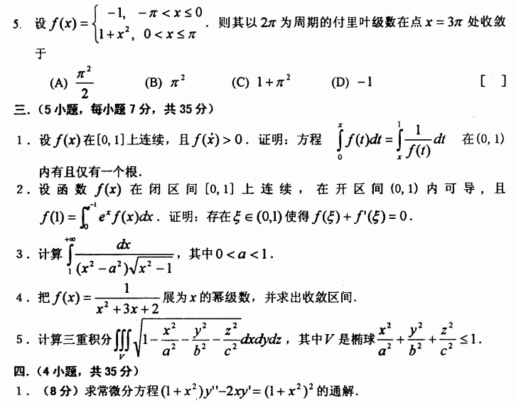
中国科学技术大学2000年考研真题-高等数学(乙)
本站小编 FreeKaoyan/2018-01-22
|
相关话题/中国科学技术大学 考研真题 高等数学
中国科学技术大学2002年考研真题-信号与系统
专业课考研经验 本站小编 FreeKaoyan 2018-01-22中国科学技术大学2000年考研真题-分析化学B
专业课考研经验 本站小编 FreeKaoyan 2018-01-22中国科学技术大学2000年考研真题-信号与系统
专业课考研经验 本站小编 FreeKaoyan 2018-01-22中国科学技术大学2001年考研真题-信号与系统
专业课考研经验 本站小编 FreeKaoyan 2018-01-22中国科学技术大学1998年考研真题-信号与系统
专业课考研经验 本站小编 FreeKaoyan 2018-01-22中国科学技术大学1999年考研真题-信号与系统
专业课考研经验 本站小编 FreeKaoyan 2018-01-22中国科学技术大学1996年考研真题-信号与系统
专业课考研经验 本站小编 FreeKaoyan 2018-01-22中国科学技术大学1997年考研真题-信号与系统
专业课考研经验 本站小编 FreeKaoyan 2018-01-22中国科学技术大学1994年考研真题-信号与系统
专业课考研经验 本站小编 FreeKaoyan 2018-01-22中国科学技术大学1995年考研真题-信号与系统
专业课考研经验 本站小编 FreeKaoyan 2018-01-22中国科学技术大学1992年考研真题-信号与系统
专业课考研经验 本站小编 FreeKaoyan 2018-01-22中国科学技术大学1993年考研真题-信号与系统
专业课考研经验 本站小编 FreeKaoyan 2018-01-22中国科学技术大学1990年考研真题-信号与系统
专业课考研经验 本站小编 FreeKaoyan 2018-01-22中国科学技术大学1991年考研真题-信号与系统
专业课考研经验 本站小编 FreeKaoyan 2018-01-22中国科学技术大学2004年考研真题-综合化学第一部分
专业课考研经验 本站小编 FreeKaoyan 2018-01-22




