|
上海交通大学1999年考研真题-有机化学
本站小编 FreeKaoyan/2018-01-22
|
相关话题/上海交通大学 考研真题 有机化学
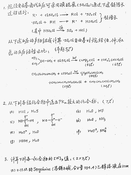
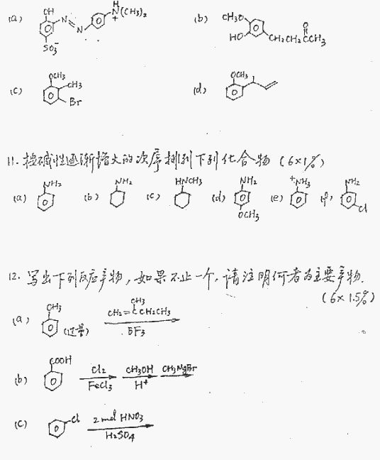
上海交通大学1999年考研真题-有机化学(含有机化学实验)
专业课考研经验 本站小编 FreeKaoyan 2018-01-22上海交通大学1999年考研真题-物理化学
专业课考研经验 本站小编 FreeKaoyan 2018-01-22上海交通大学1999年考研真题-信号与线性系统
专业课考研经验 本站小编 FreeKaoyan 2018-01-22上海交通大学1999年考研真题-微型计算机原理与应用
专业课考研经验 本站小编 FreeKaoyan 2018-01-22上海交通大学1999年考研真题-微型计算机在测试技术及仪器中的应用
专业课考研经验 本站小编 FreeKaoyan 2018-01-22上海交通大学1999年考研真题-微分方程
专业课考研经验 本站小编 FreeKaoyan 2018-01-22上海交通大学1999年考研真题-微型计算机原理及应用
专业课考研经验 本站小编 FreeKaoyan 2018-01-22上海交通大学1999年考研真题-数学分析
专业课考研经验 本站小编 FreeKaoyan 2018-01-22上海交通大学1999年考研真题-统计物理(含热力学)
专业课考研经验 本站小编 FreeKaoyan 2018-01-22上海交通大学1999年考研真题-社会学
专业课考研经验 本站小编 FreeKaoyan 2018-01-22上海交通大学1999年考研真题-数据结构与程序设计技术
专业课考研经验 本站小编 FreeKaoyan 2018-01-22上海交通大学1999年考研真题-汽车理论
专业课考研经验 本站小编 FreeKaoyan 2018-01-22上海交通大学1999年考研真题-热工理论
专业课考研经验 本站小编 FreeKaoyan 2018-01-22上海交通大学1999年考研真题-流体力学
专业课考研经验 本站小编 FreeKaoyan 2018-01-22上海交通大学1999年考研真题-汽车底盘
专业课考研经验 本站小编 FreeKaoyan 2018-01-22






