(2) 利率调节机制。在固定汇率制度下,国际收支失衡会通过货币供应量的调整,引起利率水平的变化,从而起到减轻一国国际收支失衡的作用。
(3) 价格调节机制。价格的变动在国际收支自动调节机制中也发挥重要的作用,价格的变化会影响一国商品的国际竞争力,进而在一定程度上矫正国际收支失衡。
(4) 收入调节机制。如果在某一均衡收入水平上发生了国际收支的失衡,经济体系内部就会自发产生使收入水平发生变动的作用力,而收入的变动至少会部分地减少国际收支的失衡程度。
16. 简述购买力平价理论和利率平价理论的相关内容。答:
(一)购买力平价理论:一单位某一国家货币兑换成外国货币后购买力应该相等。其中心思想是:在一特定时间内,两国货币的比价即汇率是由两国的相对物价水平变化决定的。更直接的表述就是,外汇汇率是由两国物价水平之比决定的。
一价定律:该理论假定在没有运输成本和其他贸易障碍的完全自由竞争市场上,在不同国家市场上出售的同质商品,由于套利的作用,当以同一货币计价时其价格将趋于一致(E=Pia/Pib,汇率为两国商品价格之比)。
(1)绝对购买力平价理论:两国货币的汇率等于两国价格水平之比(E=P/P*,E 为直接标价法下的汇率,P 和 P*为本国和外国一般物价的绝对水平)。
绝对购买力平价理论适用性:①在自由贸易的情况下;②在外汇管制以及运输成本等因素限制下,一国在进口和出口这两个方向上的限制程度对等。
绝对购买力评价理论缺点:①它给出的汇率是使商品和服务贸易均衡的汇率,完全没有考虑资本项目,因此资本流出的国家有国际收支逆差,而资本流入的国家有国际收支顺差;②由于每个国家的总价格水平包括贸易品、非贸易品和服务,而国际贸易却不能影响非贸易品的价格,因此绝对购买力平价理论很难推导出均衡贸易的汇率;③绝对购买力平价理论没有考虑运费及自由国际贸易的障碍,尤其是如产业结构变动以及技术进步等引起的国内价格的变化,因此常常导致购买力评价难以成立;④该理论在计算具体汇率时,要求两国选取的商品篮子构成必须相同,如果不同则会造成偏差的存在。同时,物价指标的选择不同计算结果也就不同。
(2)相对购买力评价理论:E0=P0/P0*,E1=P1/P1*,E1=(P1/P0)/(P1*/P0*)× E0,即在任何时间段内,两国汇率变化与同一时期两国国内价格水平相对变化成正比(变化率 E=π-π*)。
相对购买力评价理论的评价:①更好地解释了长期汇率变动的原因;②该理论在物价剧烈波动、通货膨胀严重时期,具有相当重要的意义;③从统计验证来
看,相对购买力平价很接近均衡汇率,有可能在两国贸易关系新建或恢复时,提供一个可参考的均衡汇率;④为国民经济的国际比较提供了一种比过去更为科学的方法,使得比较更为实际;⑥该理论对当今西方国家的外汇理论和政策仍发生重大影响,许多西方经济学家仍然把其作为预测长期汇率趋势的重要理论之一。
(二)利率平价理论:在开放经济条件下,两国汇率由金融资产市场上两国货币资产的收益来决定。
(1) 非抛补利率平价:交易者根据自己对汇率未来变动的预测进行投资,在期初和期末均作即期外汇交易而不进行相应的远期交易,汇率风险也需自己承担。两国利率差等于两国汇率升(贬值)率。【d=i-i*,d=(S*-S)/S】
(2) 抛补利率平价:指在进行即期货币买卖的同时进行反方向的远期交易,以规避外汇风险,因此两国利率差将通过远期汇率的变化率反应。
G=(i-i*)/(1+i*)-(F-S)/S
利率平价理论的经验检验:①在某些市场(如欧洲),利率平价理论可以得到验证,但当把验证范围扩大后,结果不甚利率理想;②几乎不存在无风险套利的机会,与利率平价偏离的程度也大都小于交易成本。投机者有时获利,有时亏损,而很少获得能赚得确定的较高的利润的机会;③抛补利率平价在大的发达国家效果较好,在发展中国家并不适用。
利率平价理论缺陷:①没有考虑交易成本,如果考虑到各种交易成本,就会影响套利收益,从而影响汇率与利率的关系,国际间的抛补套利活动也会在达到利率平价之前停止;②该理论的假设条件比较苛刻,即假定资本流动不存在障碍,外汇市场必须高度完善,但实际上,资金在国际间流动会受到外汇管制和外汇市场不发达等因素的阻碍;③该理论忽视了投机者对市场的影响力以及政府对外汇市场的干预,因此预测的远期汇率同即期汇率的差价往往与实际有差别。
第三部分 公司理财和投资学
1. 公司金融主要解决哪三方面的问题? 答:公司财务主要涉及三种决策:
1) 融资决策
为企业的投资活动筹措资金,是公司财务的一项主要内容。 资金的来源方式有两种:
(1) 负债。负债一般是向银行信用机构借款或者发行债券,举债的成本一般是利息。
(2) 权益。权益指发行股票,一般是指普通股融资,融资成本是到期需向股东支付股利。最佳的资本结构是融资成本最小时的负债和权益的比例。公司资本结构的变化会影响公司价值,因此公司财务的目标之一就是选择合理的融资方式或者说恰当的资本结构,以使公司价值达到最大化。
2) 投资决策
投资可以分为直接投资和间接投资。直接投资一般具有不可逆的特征,即一旦发现投资决策失误,会很难收回已经投入的资本。因此,在投资之前,企业要对该投资形成后可能产生的现金流入进行预测,同时与该直接投资所发生的现金流出进行比较。如果净现值大于零,说明该项目有利可图,否则就放弃该投资方案。间接投资指通过证券分析和评价,从证券市场中选择企业所需的股票和债券, 形成投资组合。
3) 营运资本管理
营运资本管理主要是保证企业日常生产经营活动正常进行的资金需求和各 类债务的按期偿还,包括决定日常的现金保有量和存货保有量,决定企业怎样获得短期资金,是利用商业信用(应付账款)还是利用银行的短期借款,决定企业是否进行赊销以及按什么条件进行赊销(即应收账款的管理)。企业要通过营运资本管理来保证生产经营资金的安全,使其正常周转以维护企业的生产经营活动的正常进行和商业信誉。在营运资本管理方面,当企业面临着资金使用效率和资金运作安全的矛盾时,通常应更加注意资金使用的安全,确保企业的偿付能力, 避免发生财务危机。
2. 杜邦分析法的内涵以及影响因素,并提出提高公司经营能力的具体措施? 答:杜邦分析的含义
是将净资产收益率(Rate of Return on Common Stockholders' Equity, ROE) 分解为三部分进行分析的方式名称:利润率,总资产周转率和财务杠杆。这种方式也被称作“杜邦分析法”。
杜邦分析法说明净资产收益率受三类因素影响:
- 利润率,用销售利润率衡量,表明企业的盈利能力;
- 总资产周转率,用资产周转率衡量,表明企业的营运能力;
- 财务杠杆,用权益乘数衡量,表明企业的资本结构。
净资产收益率=销售利润率(利润总额/销售收入)*资产周转率(销售收入/ 总资产)*权益乘数(总资产/净资产(权益))
资产净利率是影响权益净利率的最重要的指标,具有很强的综合性,而资产净利率又取决于销售净利率和总资产周转率的高低。总资产周转率是反映总资产的周转速度。对资产周转率的分析,需要对影响资产周转的各因素进行分析,以
判明影响公司资产周转的主要问题在哪里。销售净利率反映销售收入的收益水平。扩大销售收入,降低成本费用是提高企业销售利润率的根本途径,而扩大销售,同时也是提高资产周转率的必要条件和途径。
权益乘数表示企业的负债程度,反映了公司利用财务杠杆进行经营活动的程度。资产负债率高,权益乘数就大,这说明公司负债程度高,公司会有较多的杠杆利益,但风险也高;反之,资产负债率低,权益乘数就小,这说明公司负债程度低,公司会有较少的杠杆利益,但相应所承担的风险也低。
3. 比较投资预算方法中 NPV 方法和 IRR 方法他们各有什么优点,在什么情况下出现不一致,若出现不一致情况以哪一个为准?
答:
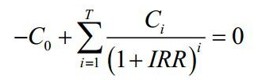
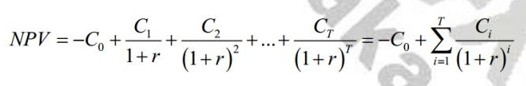
1) 净现值法投资项目的净现值( NPV)是指投资项目寿命周期内各年的现金流量按一定的贴现率折算成现值后与初始投资额之间的差额,它是评估项目是否可行的最重要的指标。所用的贴现率是项目的资本成本,也就是投资者要求的期望收益率。净现值的计算公式为:
式中: NPV 表示净现值; C0 表示初始投资额; Ci 表示第 i 年现金流量; r 表示贴现率; T 表示投资项目的寿命周期。
净现值法决策标准: 如果投资项目的净现值大于零,接受该项目;如果投资项目的净现值小于零,放弃该项目;如果有多个互斥的投资项目相互竞争,选取净现值最大的投资项目。
2) 内部收益率( IRR)是投资收益现值与其初始投资额相等时的收益率,即净现值为零时的贴现率。内部收益率法的基本原理是找出一个能体现项目内在价值的数据,其本身不受资本市场利息率的影响,而是取决于项目的现金流量。内部收益率的计算公式为:

内部收益率法的基本法则是:若内部收益率大于贴现率,项目可以接受;若内部收益率小于贴现率,项目不能接受。贴现率小于内部收益率时,净现值为正; 贴现率大于内部收益率时,净现值为负。这样,在贴现率小于内部收益率时接受某一项目,也就意味着接受了一个净现值为正值的项目。
3) 内部收益率法在以下情况下会出现与净现值法不一致的情况:
多重收益率问题。项目的寿命期内现金流多次变号时,会出现多个内部收益率,而有些内部收益率的净现值为负。
对于互斥项目,内部收益率法忽略了项目的投资规模,内部收益率高的可能净现值小。还有时间序列问题,当两个互斥项目的现金流量出现不同的时间序列模式时,运用内部收益率进行评估对于不同的贴现率会出现不同的结果。
因此当两者出现结果不一致时,用净现值法。
4. 简述资本市场线和证券市场线的区别?
答: 资本市场线( Capital Market Line, CML):描述的是当资本市场处于均衡状态下,由多个资产构成的有效组合的预期收益率与标准差之间的线性关系。
SML( Security Market Line),即证券市场线。是资本资产定价模型( CAPM) 的图示形式。可以反映投资组合报酬率与系统风险程度β 系数之间的关系以及市场上所有风险性资产的均衡期望收益率与风险之间的关系。
区别: CML 将一项有效资产组合的期望收益率与其标准差联系起来,但它并未表明一项单独资产的期望收益率是如何与其自身的风险相联系。
SML 虽然是由 CML 导出,但其意义不同:
(1) CML 给出的是市场组合与无风险证券构成的组合的有效集,任何资产(组合)的期望收益不可能高于 CML。
(2) SML 给出的是单个证券或者组合的期望收益,它是一个有效市场给出的定价,但实际证券的收益可能偏离 SML。

5. 简述 APT 和 CAPM 模型的区别? 答:
1) CAPM 模型
当资本市场达到均衡时,风险的边际价格是不变的,任何改变市场组合的投资所带来的边际效果是相同的,即增加一个单位的风险所得到的补偿是相同的。按照β的定义,代入均衡的资本市场条件下,得到资本资产定价模型:E(ri)=rf+ βim(E(rm)-rf)。
其中:E(ri) 是资产 i 的预期回报率,rf 是无风险利率,βim 是[[Beta 系数]],即资产 i 的系统性风险,E(rm) 是市场 m 的预期市场回报率。
E(rm)-rf 是市场风险溢价,即预期市场回报率与无风险回报率之差。
资本资产定价模型的说明如下:1.单个证券的期望收益率由两个部分组成, 无风险利率以及对所承担风险的补偿-风险溢价。2.风险溢价的大小取决于β值的大小。β值越高,表明单个证券的风险越高,所得到的补偿也就越高。3. β 度量的是单个证券的系统风险,非系统性风险没有风险补偿。
2) APT 模型
套利定价模型是资本资产定价模型(CAPM)的替代理论。虽然被称作套利定价模型,但实际与套利交易无关,是适用于所有资产的估值模型,其理论基础是“一项资产的价格由不同因素驱动,将这些因素分别乘上其对资产价格影响的贝塔系数,加总后再加上无风险收益率,就可以得出该项资产的价值”。
套利定价理论认为,套利行为是现代有效率市场(即市场均衡价格)形成的一个决定因素。如果市场未达到均衡状态的话,市场上就会存在无风险套利机会. 并且用多个因素来解释风险资产收益,并根据无套利原则,得到风险资产均衡收益与多个因素之间存在(近似的)线性关系. 而前面的 CAPM 模型预测所有证券的收益率都与唯一的公共因子(市场证券组合)的收益率存在着线性关系。
3) 二者区别: 套利定价理论与资本资产定价模型有很多相同的作用,它给出了一个收益率的基准线,这可以用于资本预算、证券估值或者投资绩效评价上。此外,套利定价理论突出显现了无法分散的风险(系统风险因素)与可分散风险之间的重要区别,其中,前者需要一个风险溢价来补偿,而后者不需要。
套利定价理论依赖于一个假设,即资本市场中的理性均衡会消除套利机会。只要违背套利定价理论的定价关系,就会产生极强的压力来恢复均衡,即使只有有限的投资者注意到了这种非均衡。套利定价理论通过使用一个充分分散的投资组合(实践中充分分散的投资组合可以由大量的证券来构造)来产生上述期望收益—贝塔关系。
资本资产定价模型则是假设存在一个内生的不可观测的市场组合。资本资产定价模型建立在均值—方差有效的基础上,如果任何证券违背了期望收益—贝塔关系,那么许多投资者将会改变其投资组合,虽然单个投资者的影响很小,但联合起来对股价构成的压力会使其恢复均衡,从而这种关系再次得到满足。对于所有证券,资本资产定价模型提供的期望收益—贝塔关系是没有规律的,但是套利定价理论表明所有证券都拥有这种关系,不过可能少量证券除外。因为套利定价理论集中于无套利条件,没有市场或指数模型作进一步的假设,因此它不能消除任意特殊资产违背期望收益—贝塔关系产生的影响。套利定价模型的优点之一是它能够处理多个因素,这更能反映现实生活。而资本资产定价模型则忽略了这一点。
6. 简述有效市场假说的三种形式,并列举违背有效市场假说的异常现象。答:
(1) 有效市场假说将资本市场的有效性分为弱型有效市场、 半强型有效市场和强型有效市场三种。
①弱型有效市场: 在弱型有效市场上, 证券的价格已经充分反映了过去的价格和交易信息, 包括股票的成交价、 成交量、 卖空金额、 融资金额等。 并由此得出一个推论:如果弱有效市场假说成立,则股票价格的技术分析失去作用, 基本分析还可能帮助投资者获得超额利润。
②半强型有效市场: 在半强型有效市场上, 证券的价格已充分反映出所有已公开的有关公司营运前景的信息, 这些信息有成交价、 成交量、 盈利资料、 盈
利预测值、 公司管理状况及其它公开披露的财务信息等。 假如投资者能迅速获得这些信息, 股价应该迅速作出反应。并由此得出一个推论: 如果中度有效市场假说成立, 则在市场中利用技术分析和基本分析都失去作用, 内幕消息可能获得超额利润。
③强型有效市场: 在强型有效市场上, 价格已充分反映了所有关于公司营运的信息, 这些信息包括已公开的或内部未公开的信息。 并由此得出一个结论: 在强有效市场中, 没有任何方法能帮助投资者获得超额利润, 即使基金和有内幕消息者也一样。
(2) 违背有效市场假说的异常现象是指, 现实中存在挑战有效市场假说的证据, 有效市场假说的支持者通常把这一类的结果称为异常现象, 具体包括:
①公司规模效应: 平均地说, 规模小的公司, 其超额利润非常高, 至少上世纪美国股市的历史资料显示了这样的结果。
②市盈率效应: 市盈率效应说明市盈率低的股票或投资组合, 其超额利润较市盈率高的股票来得高。 这些超额利润均已经过风险贴水的调整。 而根据有效市场假说, 风险调整后的股票超额利润应该是一致的。
③周末效应: 股价在周末收盘至下周一开盘间有大幅下跌的现象。 周末效应可能的原因之一是公司或政府宣布对公司式经济有利的消息时, 会挑选在股市交易时间内宣布此项利多, 而对于利空消息, 公司或政府大多会延迟至周末再宣布。 由于股市在周末休市, 投资者无法及时作出反应, 故股价的向下调整会延迟反应在周一的开盘价上。
(3) 产生这些异常现象的原因是: 市场无摩擦, 无交易费用; 不存在信息不对称, 所有投资者都是理性的, 市场是完全竞争的。 这种状态完全理想化, 现实中是不可能的。
7. 简述完美市场条件下 MM 定理Ⅰ和定理Ⅱ。
答:MM 定理是美国经济学家莫迪利安尼( Modigliani) 和米勒( Miller) 在1958 年 6 月《 美国经济评论》 第 48 卷发表的论文《 资本成本、 企业理财和投资理论》 中提出的一个著名定理, 其核心内容是: 在具备完美资本市场的经济中, 企业价值与企业的资本结构无关。
(1) 莫迪利安尼和米勒为了证明 MM 定理作了一系列假设, 主要有:
①无税收, 不考虑公司所得税和个人所得税的影响;
②无交易成本, 在均衡的债券或者股票市场上, 两种具备完全替代性的金融商品按同一价格成交, 如果价格不同, 就存在套利机会;
③个人和公司的借贷利率相等。
(2) 莫迪利安尼和米勒依赖于这些严格的假设条件, 根据无交易成本的“套利过程”证明了以下两个定理:
a. 定理一, 杠杆企业的价值与无杠杆企业的价值相等, 即
![]()
其中, VL 为有负债公司的价值; VU 为无负债企业的价值; KA 为有负债公司的资本加权平均资本成本; KSU 为无负债公司的普通股必要报酬率。
公式表明: ①企业价值 V 独立于其负债比率, 即企业不能通过改变资本结构达到改变公司价值的目的; ②有负债企业的综合资本成本率 KA 与资本结构无关, 它等于同风险等级的 没有负债企业的权益资本成本率; ③KA 和 KSU
的高低视公司的经营风险而定。
b. 定理二, 股东的期望收益率随财务杠杆的提高而上升, 即
![]()
命题二的含义是: ①使用财务杠杆的负债公司, 其股东权益成本是随着债务融资额的增加而上升的; ②便宜的负债带给公司的利益会被股东权益成本的上升所抵消, 最后使负债公司的平均资本成本等于无负债公司的权益资本成本;③ 因此公司的市场价值不会随负债率的上升而提高, 即公司资本结构和资本成本的变化与公司价值无关。
8. 比较用于企业价值评估的 WACC 方法和 APV 方法?
1) 基本原理
调整净现值( APV) 是指一个项目为杠杆企业创造的价值等于一个无杠杆企业的项目净现值(NPV) 加上筹资方式连带效应的净现值。 调整净现值法是净现值法的拓展和补充。
加权平均资本成本是指债务资本的单位成本和权益资本的单位成本根据债务和权益在资本结构中各自所占的权重计算的平均单位成本。作为折现率的加权平均资本成本的计算公式为:

2) 区别:
APV 法和 WACC 法比较类似, 两种方法的分子均为无杠杆现金流( UCF) 。 但是, APV 法用全权益资本成本 r0 折现现金流得到无杠杆项目的价值, 然后加上负债的节税现值, 得到有杠杆情况下的项目价值; WACC 法则将 UCF 按 rWACC 折现, 而 rWACC 低 于 r0 。
因此, 这两种方法都通过调整适用于无杠杆企业的基本 NPV 公式来反映财务杠杆所带来的税收利益。其中, APV 法直接进行调整, 它把税收连带效应的净现值作为单独的一项加上去; 而 WACC 法调整采用的折现率虽然较低,但两种调整方法所得出的结果是一样的。
9. 简述“股利相关论”的具体内容和结论。
答: 股利相关理论认为, 在现实的市场环境下, 公司的利润分配会影响到公司的价值和股票价格。 因此公司价值和股利政策是相关的, 其代表性观点主要有“ 一鸟在手理论” , 税收差别理论, 信号传递理论,代理理论。
“一鸟在手” 理论认为, 由于公司未来的经营活动存在着诸多不确定性因素, 投资者会认为现在获得股利的风险低于将来获得资本利得的风险, 相对于资本利得而言, 投资者更加偏好现金股利, 因此, 出于对风险的回避, 股东更喜欢确定的现金股利, 这样公司如何分配股利就会影响股票价格和公司价值, 即公司价值与股利政策是相关的。
税收差别理论, 由于不对称税率的存在, 因此股利政策会影响公司价值和股票价格。 股利政策会影响公司价值和股票价格。 研究税率差异对公司价值及股利政策影响的股利理论被称为税收差别理论, 其代表人物主要有里森伯格尔
和拉马斯瓦米。 税收差别理论认为, 由于股利收入的所得税税率通常都高于资本利得的所得税税率,这种差异会对股东财富产生不同影响,出于避税的考虑, 投资者更偏爱低股利政策, 公司实行较低的股利支付率政策可以为股东带来税收利益, 有利于增加股东财富, 促使股票价格上涨, 而高股利支付率政策将导致股票价格下跌。 除了税率上的差异, 股利收入和资本利得的纳税时间也不同, 股利收入在收到股利时纳税, 而资本利得只有在出售股票获取收益时才纳税, 这样,资本利得的所得税是延长到将来才缴纳, 股东可以获得货币时间价值的好处。
信号传递理论, 信号传递理论认为, 在投资者和管理层信息学不对称的情况下, 股利政策包含了公司经营状况和未来发展前景的信息, 投资者通过这些信息的分析来判断公司未来盈利能力的变化趋势, 以决定是否购买其股票, 从而引起股票价格的变化。 根据信号传递理论, 稳定的股利政策向外传递了公司经营状况稳定的信息, 有利于公司价格的稳定, 因此公司在指定股利政策时, 应当考虑市场的反映, 避免传递易于被投资者误解的信息。
代理理论, 代理问题会降低企业的效率, 增加企业的成本, 这种成本在经济学上称之为代理成本。经济学将研究委托-代理关系下代理问题以及代理成本的理论称之为委托-代理理论或者代理理论。股利分配作为公司一种重要的财务活动, 也会受到各种委托-代理关系的影响, 与股利分配作为公司的一种重要的财务活动, 也会受到各种委托-代理关系的影响, 与股利分配政策有关的代理问题主要有以下三类: (1) 股东与经理之间的代理问题; (2) 股东与债权人之间的代理问题; (3) 控股股东与中小股东之间的代理问题。 这三类代理问题都会产生代理成本。 代理成本理论认为, 公司分派现金股利可以有效地降低代理成本,提高公司价值, 因此, 代理理论主张高股利支付率政策, 在股利政策的选择上, 主要应考虑股利政策如何才能降低代理成本。 所以在实践中, 需要降低代理成本与增加筹资成本和税负之间权衡, 以制定出最符合股东权益的股利政策。




