9. 简述表外业务和中间业务? 答:
1. 表外业务的概念
表外业务是指凡未列入银行资产负债表内且不影响资产负债总额的业务。广义的表外业务既包括传统的中间业务,又包括金融创新中产生的一些有风险的业务,如互换、期权、期货、远期利率协议、票据发行便利、贷款承诺、备用信用证等业务。通常提及的表外业务专指后一类,属狭义表外业务。
2. 中间业务的概念
中间业务是指银行不需要运用自己的资金而代理客户承办支付和其他委托事项,并据以收取手续费的业务,也称为无风险业务。最常见的是传统的汇兑、信用证、代收、代客买卖等业务。
(1) 相同点
两者均不体现在商业银行的资产负债表中,广义的表外业务包括中间业务。
(2) 不同点
①中间业务不需要商业银行承担风险,而表外业务蕴含着风险,甚至风险很大。
②中间业务无论何时都不会涉及商业银行的资产负债表,而表外业务则在一定程度上可能转化为资产负债项目。
③中间业务不对银行提出资本要求,而表外业务对银行的资本提出要求。
10. 简述央行的三大职能?
答: 中央银行具有以下的职能:
(1) 中央银行是“发行的银行”
所谓的发行的银行是指中央银行垄断了全国的货币发行权, 成为一国惟一的货币发行机关。 这是其与商业银行和其它金融机构的不同之处, 也是中央银行发挥其职能的基础。中央银行垄断货币的发行权,有利于其调节与管理货币流通, 控制货币供应量,维持货币的稳定。
(2) 中央银行是“政府的银行”
中央银行作为政府的银行是指其拥有管理全国金融机构的权力, 是一国货币政策的制定者与执行者, 又是国家信用的提供者, 并代理国家财政收支及提供各种金融服务。 具体地说,其职能有: 第一, 代理国库业务; 第二, 对政府
提供信用; 第三,管理金融活动, 调节一国经济;第四, 代表政府参与国际金融活动; 第五, 经政府授权, 保管全国的黄金与外汇储备。
(3) 中央银行是“银行的银行”
作为银行的银行, 中央银行对商业银行和其它金融机构发挥着特殊的作用。 第一, 吸收与保管存款准备金, 以加强存款机构的清偿能力。 一旦发生信用危机, 中央银行可给予资金支持。 中央银行也可通过存款准备金率的变动来调节一国的货币供应量。 第二, 充当最后贷款人, 对商业银行提供信贷。 当商业银行和其它金融机构发生资金短缺或周转不灵时, 可以向中央银行要求资金融通。 第三, 作为全国票据清算中心, 组织全国票据清算事宜。 中央银行作为清算银行可为各商业银行和金融机构间货币的收付转账提供快捷便利的服务,解决单个银行清算的困难。
11. 若央行要降低货币乘数,应该怎么做?
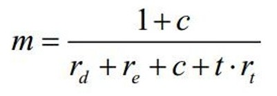
答:货币乘数是指货币供给量对基础货币的倍数关系, 简单地说, 货币乘数是一单位准备金所产生的货币量。 完整的货币( 政策) 乘数的计算公式是:

其中, rd,rt,t,e,k 分别代表活期存款法定准备金率、定期存款法定准备金率、定期存 款与活期存款间的比率、 超额准备率和现金在存款中的比率。而货币( 政策) 乘数的基本计算公式是: 货币供给/基础货币。 货币供给等于通货( 即流通中的现金) 和
活期存款的总和;而基础货币等于通货和准备金的总和。货币乘数的大小由以下四个因素决定:
(1) 法定存款准备金率。 定期存款与活期存款的法定准备金率均由中央银行直接决定。通常, 法定准备金率越高, 货币乘数越小; 反之, 货币乘数越大。
(2) 超额准备金率。 商业银行保有的超过法定准备金的准备金与存款总额之比, 称为超额准备金率。显而易见, 超额准备金的存在相应减少了银行创造派生存款的能力, 因此,超额准备金率与货币乘数之间也呈反方向变动关系, 超额准备金率越高, 货币乘数越小; 反之, 货币乘数就越大。 超额存款准备金率的影响因素主要有: ①持有超额准备金的机会成本大小, 即生息资本收益率的高低。 ②借入准备金的成本大小, 主要是中央银行再贴现率的高低。 如果再贴现率高, 意味着借入准备金成本高, 商业银行就会保留较多超额准备金, 以备不时之需; 反之, 就没有必要保留较多的超额准备金。 ③经营风险和资产的流动性。 如果经营风险较大, 而现有资产的流动性又较差, 商业银行就有必要保留一定的超额准备金, 以备应付各种风险。
(3) 现金比率。 现金比率是指流通中的现金与商业银行活期存款的比率。 现金比率的高低与货币需求的大小正相关。 因此, 凡影响货币需求的因素, 都可以影响现金比率。 例如银行存款利息率下降, 导致生息资产收益减少, 人们就会减少在银行的存款而宁愿多持有现金, 这样就加大了现金比率。 现金比率与货币乘数负相关, 现金比率越高, 说明现金退出存款货币的扩张过程而流入日常流通的量越多, 因而直接减少了银行的可贷资金量, 制约了存款派生能力, 货币乘数就越小。
(4) 定期存款与活期存款间的比率。 由于定期存款的派生能力高于活期存款, 各国中央银行都针对商业银行存款的不同种类规定不同的法定准备金率,通常定期存款的法定准备金率要比活期存款的低。 这样即便在法定准备全聿不变的情况下, 定期存款与
活期存款间的比率改变也会引起实际的平均法定存款准备金率改变,最终影响货币乘数的大小。一般来说,在其他因素不变的情况下, 定期存款对活期存款比率上升, 货币乘数葳会变大; 反之, 货币乘数会变小。 总之, 货币乘数的大小主要由法定存款准备金率、 超额准备金率、 现金比率及定期存款与活期存款间的比率等因素决定。而影响我国货币乘数的因素除了上述四个因素之外, 还有财政性存款、 信贷计划管理两个特殊因素。
因此,如果央行要降低货币乘数,可以做的是:提高法定存款准备金率、提高超额准备金率、提高现金比率,降低定期存款与活期存款的比率。
12. 比较凯恩斯学派和货币学派的货币政策传导机制理论?
答: 货币传导机制指各种货币工具的运用引起中间目标的变动和社会经济生活的某些化,从而实现中央银行货币政策的最终目标这样一个过程。它实际上包含两个方面内容:一是内部传导机制,即从货币工具选定.操作到金融体系货币供给收缩或扩张的内部作用过程;二是由中间指标发挥外部影响,即对总支出起作用的过程。在西方,关于货币政策传导机制的分析,一般分为凯恩斯学派的传导机制理论和货币学派的传导机制理论。
(1) 凯恩斯学派的传导机制理论。凯恩斯学派认为,当货币政策变动时,例如,中央银行通过公开市场购买债券,货币供应量增加,导致货币资产收益率下降;经济单位以货币买进债券,导致债券价格上升,市场利率下降,投资者则增加投资,引起总需求增加,导致产出增加。整个传导过程可表示为:
货币政策工具→M(货币供应)→r(利率)→I(投资)→E(总支出)→Y(收 入)货币政策的作用过程,先是通过货币供应量的变动影响利率水平,再经利率水平的变动改变投资活动水平,最后导致收入水平的变动。货币政策对收入水平影响的大小取决于:
①货币政策对货币供应量的影响,这取决于基础货币和货币乘数;
②货币供应量的变化对利率的影响;
③利率变化对投资水平的影响;
④投资水平对收入水平的影响,这取决于投资乘数的大小。
这一传导过程中各个环节是一环扣一环的,如果其中任意环节出现阻塞或障碍,都可能导致货币政策效果的减弱或无效。在这个传导机制发挥作用的过程中, 最主要的环节是利率。
(2) 货币学派的传导机制理论。货币学派认为,利率在货币传导机制中不起重要作用,而更强调货币供应量在整个传导机制上的直接效果。该学派认为,增加货币供应量在开始时会降低利率,银行增加贷款,货币收入增加和物价上升,从而导致消费支出和投资支出增加,引致产出提高,直到物价的上涨将多余的货币量完全吸收掉为止。因此,货币政策的传导机制主要不是通过利率间接的影响投资和收入,而是通过货币实际余额的变动直接影响支出和收入,可用符号表示为: M→E→I→Y。其中 M→E,是指货币供给量的变化直接影响支出。货币供给量不通过利率途径而直接影响支出的原因在于货币需求有其内在的稳定性,当作为外生变量的货币供给改变,由于货币需求并不改变,公众手持货币量会超过他们所愿意持有的货币量,从而必然增加支出。 E→I,是指变化了的支出用于投资的 过程,这是一个资产结构的调整过程,因为不同取向的投资会相应引起不同资产相对收益率的变动,这就引起资产结构的调整。
13. 作为货币政策框架的通货膨胀目标制的含义是什么?他与传统的货币政策体系相比有什么不同?
答:
通货膨胀目标制是中央银行直接以通货膨胀为目标并对外公布针对该目标 的货币政策制度。在通货膨胀目标制下,传统的货币政策体系发生了重大变化, 在政策工具与最终目标之间不再设立中间目标,货币政策的决策依据主要依靠定期对通货膨胀的预测。通货膨胀目标制实施的条件主要有:
(1) 中央银行的独立性;
(2) 货币政策的高度透明度; (3)利率的市场化;
(4)浮动汇率制。
通货膨胀目标制与传统货币体系相比呈现出以下特点:
第一,在通货膨胀目标制下,货币政策承诺维持一个具体的长期通货膨胀水平,长期价格稳定将是压倒一切的首要的政策目标。
第二,在长期通货膨胀目标值的约束下,为达到产出稳定等其它目标,中央银行短期内拥有采取灵活政策的权力——这就是“弹性通货膨胀目标”这一术语的真正含义。
第三,通货膨胀目标制要求货币政策决策者保持实质性的开放和透明,例如, 应定期公布通货膨胀形势报告,并让公众参加政策讨论。公布通货膨胀目标,不仅包括通货膨胀的目标值及其决定它的依据,而且还包括价格指数、目标期限和目标区的类型;在当前的经济环境下,如何实现通货膨胀目标;偏离通货膨胀目标的原因等等。
14. 简述货币供应量的变化对一国利率水平的影响? 答:
短期情况下,根据凯恩斯的货币需求理论,如果名义货币供给增加,意味着货币市场上货币资金的供给数量增加,利率是资金的使用价格,根据供求原理名义利率必然下降。自己画下供给曲线的图,货币供给增加,LM 曲线右移,利率下降。
从长期的角度来看,一国货币供应量的增加会导致名义利率上升。费雪效应: i=r+πe,名义利率 i 受实际利率 r 和通货膨胀率πe 影响,当一国货币供应量的增加时,由费雪方程式: MV=PY 可知会造成物价水平的上涨,通货膨胀率增加,而实际利率保持不变,从而导致了长期以来名义利率的上升。
15. 简述货币需求理论发展脉络及其规律? 答:一.货币需求的发展脉络

货币需求的决定因素
(1)收入状况 (2)市场利率 (3)信用发达程度 (4)消费倾向
(5)物价水平,商品供应量与货币流通速度 (6)公众的偏好与预期二.三种货币需求理论
1. 传统货币数量论
1) 现金交易数量说
20 世纪初,欧文•费雪提出了交易方程式: MV=PY。费雪认为, 货币流通速度可以视为一个常数。 实际国民收入也保持不变。 所以货币供应量的变化将完全体现在价格的变化上。变形得 Ms=1/v*PY 上式就是由传统货币数量论推导得出的货币需求函数。从中可以看出, 货币需求取决于名义国民收入。
2) 现金余额数量论
在研究货币需求问题时, 剑桥学派重视微观主体的行为。 剑桥学派认为, 在其他条件不变的情况下, 对每个人来说, 名义货币需求与名义收入水平之间总保持着一个较为稳定的比例关系, 对整个经济体系来说也是如此。
剑桥方程式为:Ms=kPY
k 是比例系数,代表了人们愿意以货币这种形式持有的名义国民收入的比例。两个方程式的区别
(1)费雪方程式从宏观角度分析货币需求;剑桥方程式从微观角度分析货币需求。(2)费雪方程式强调的是货币的交易手段功能, 剑桥方程式重视货币作为一种资产的功能。
(3)费雪方程式把货币需求与支出流量联系在一起, 重视货币支出的数量和速度, 因此被称为现金交易说; 剑桥方程式用货币形式保有资产存量的角度考虑货币需求,重视这个存量占收入的比例, 因此被称为现金余额说。
2. 凯恩斯的货币需求理论
(1) 货币需求动机
凯恩斯的货币需求理论研究从人们持有货币的动机入手。他将人们持有货币的动机分为交易动机、预防动机和投机动机。交易动机和预防动机产生的货币需求是收入的函数,投机动机产生的货币需求是利率的函数
交易动机,是指人们为了日常交易的方便的交易需求,这类支出显然受到
收入水平的影响,以个人为例,收入越高,则个人每月愿意付出的固定开支就越高,从而可以得出:交易动机下的货币需求是收入水平的增函数
预防动机,又称谨慎动机,是指人们需要保留一部分货币以备未曾预料的支付。 因为人们拥有的货币越多, 预防意外事件的能力就越强。因此,预防动机下的货币需求也是收入的增函数。 交易动机与预防动机的函数为 M1=L1( Y)
投机动机,是指人们根据对市场利率变化的预测,需要持有货币以便满足从中投机获利的动机,由此产生的货币需求称为货币的投机需求。凯恩斯认为, 投机动机货币需求是利率水平的减函数, 即利率与投机动机货币需求成反向变化关系。利率函数为 M2=L2( r)需求函数为 Md/P=L1( Y) +L2( r)
评价:把利率作为影响货币需求的重要因素是凯恩斯的一大贡献,凯恩斯明确的将货币需求对利率的敏感性作为其宏观经济理论的重要支点, 因为利率不稳定, 因此货币需求也是不稳定。
(2) 凯恩斯货币需求的发展
鲍莫尔-托宾模型( 平方根定律) 是对凯恩斯交易动机的货币需求理论的发展。鲍莫尔-托宾模型核心思想: 持有货币成本最小化( 损失的利率收入、去银行的成本)。它描述了个人对货币资产的需求, 正向地取决于支出而反向地取决于利率。“ 平方根公式” 表明货币的交易性需求随收入成正向变化, 随利率成反向变化。
3. 弗里德曼的货币需求理论
弗里德曼认为,人们在众多资产中选择货币,就像在众多的商品中进行选择一样,因此,对人们货币需求问题的分析可借助于消费者选择理论来进行。人们持有货币数量受以下因素影响:
1) 财富总量
2) 财富在人力与非人力形式上的划分
3) 持有货币的预期报酬率
4) 其他资产的预期报酬率, 即持有货币的机会成本
5) 持有货币给人们带来的效用
对于货币需求,弗里德曼最具概括性的论断是:由于恒久性收入的波动幅度比现期收入小得多,且货币流通速度也相对稳定,因而,货币需求也是比较稳定的。认为货币流动速度的稳定和货币需求对利率的不敏感,是弗里德曼的货币需求理论与凯恩斯的货币需求理论之间的主要差异。
16. 请比较货币主义和凯恩斯主义的货币需求理论? 答:一.凯恩斯的货币需求理论
(1) 货币需求动机
凯恩斯的货币需求理论研究从人们持有货币的动机入手。他将人们持有货币的动机分为交易动机、预防动机和投机动机。交易动机和预防动机产生的货币需求是收入的函数,投机动机产生的货币需求是利率的函数
交易动机,是指人们为了日常交易的方便的交易需求,这类支出显然受到收入水平的影响,以个人为例,收入越高,则个人每月愿意付出的固定开支就越高, 从而可以得出:交易动机下的货币需求是收入水平的增函数
预防动机,又称谨慎动机,是指人们需要保留一部分货币以备未曾预料的支付。 因为人们拥有的货币越多, 预防意外事件的能力就越强。因此,预防动机
下的货币需求也是收入的增函数。 交易动机与预防动机的函数为 M1=L1(Y) 投机动机,是指人们根据对市场利率变化的预测,需要持有货币以便满足
从中投机获利的动机,由此产生的货币需求称为货币的投机需求。凯恩斯认为, 投机动机货币需求是利率水平的减函数, 即利率与投机动机货币需求成反向变化关系。利率函数为 M2=L2(r)需求函数为 Md/P=L1(Y)+L2(r)
评价:把利率作为影响货币需求的重要因素是凯恩斯的一大贡献,凯恩斯明确的将货币需求对利率的敏感性作为其宏观经济理论的重要支点, 因为利率不稳定, 因此货币需求也是不稳定。
二.弗里德曼的货币需求理论
弗里德曼认为,人们在众多资产中选择货币,就像在众多的商品中进行选择一样,因此,对人们货币需求问题的分析可借助于消费者选择理论来进行。人们持有货币数量受以下因素影响:
1) 财富总量
2) 财富在人力与非人力形式上的划分
3) 持有货币的预期报酬率
4) 其他资产的预期报酬率, 即持有货币的机会成本
5) 持有货币给人们带来的效用
对于货币需求,弗里德曼最具概括性的论断是:由于恒久性收入的波动幅度比现期收入小得多,且货币流通速度也相对稳定,因而,货币需求也是比较稳定的。认为货币流动速度的稳定和货币需求对利率的不敏感,是弗里德曼的货币需求理论与凯恩斯的货币需求理论之间的主要差异。
三.凯恩斯与弗里德曼的理论比较1)资产的范围不同
弗里德曼的资产范围要宽泛的多,凯恩斯仅仅考虑货币与债券之间的选择, 弗里德曼关注的资产除货币外,还有股票,债券和实物资产。弗里德曼认为货币与实物是可以相互代替,因此认为实物资产的预期收益率影响货币需求。
2) 货币的预期收益率的看法不同
凯恩斯认为货币的收益率为 0, 弗里德曼认为它是一个会随着其他资产预期报酬率的变化而变化的量
3) 收入的内涵不同
凯恩斯的收入是实际收入水平, 弗里德曼的收入则是恒久收入水平4)货币需求的稳定性不同
凯恩斯认为货币需求函数受利率影响, 因此不稳定。 弗里德曼认为恒久收入水平长期取决于真是生产因素,是稳定的,而货币需求主要取决于恒久收入, 因此是稳定的。
5) 影响货币需求的侧重点不同
凯恩斯强调利率对货币需求的影响, 弗里德曼强调恒久收入水平对货币需求的影响。
6) 关于货币流通速度稳定与否的看法不同
将凯恩斯的货币需求函数变形 V=PY/Md=Y/f(Y,r), 因为 r 经常变动, 因此货币流通速度不稳定, 弗里德曼认为 v=Y/f(Yp) 恒久收入水平与 Y 的关系可预测, 所以 v 可预测。
17. 简述显性存款货币保险制度对我国金融体系的影响?

18. 简述巴塞尔协议三大支柱?
答:《新巴塞尔资本协议》的三大支柱
新资本协议包括互为补充的三大支柱,即最低资本要求、监管当局的监管和市场纪律,并试图通过三大支柱的建设,来强化商业银行的风险管理。
(1) 第一大支柱——最低资本要求
最低资本充足率要求仍然是新资本协议的重点。该部分涉及与信用风险、市场风险以及操作风险有关的最低总资本要求的计算问题。最低资本要求由三个基本要素构成:受规章限制的资本的定义、风险加权资产以及资本对风险加权资产的最小比率。其中有关资本的定义和 8%的最低资本比率,没有发生变化。但对风险加权资产的计算问题,新协议在原来以考虑信用风险的基础上,进一步考虑了市场风险和操作风险。总的风险加权资产等于由信用风险计算出来的风险加权资产,再加上根据市场风险和操作风险计算出来的风险加权资产。
(2) 第二大支柱——监管当局的监管
监管当局的监管,是为了确保各银行建立起合理有效的内部评估程序,用于判断其面临的风险状况,并以此为基础对其资本是否充足做出评估。监管当局要对银行的风险管理和化解状况、不同风险间相互关系的处理情况、所处市场的性质、收益的有效性和可靠性等因素进行监督检查,以全面判断该银行的资本是否充足。
(3) 第三大支柱——市场纪律
市场纪律的核心是信息披露。市场约束的有效性,直接取决于信息披露制度的健全程度。只有建立健全的银行业信息披露制度,各市场参与者才可能估计银行的风险管理状况和清偿能力。为了提高市场纪律的有效性,巴塞尔委员会致力于推出标准统一的信息披露框架。
我国金融监管的体制:
我国当前的金融监管体制,属于集权多头式,是由中国银行业监督管理委员会(简称中国银监会)、中国证券监督管理委员会(简称中国证监会)、中国保险监督管理委员会(简称中国保监会)三方共同承担着对我国金融业的监管职责。具体来说,中国银监会主要负责银行、信托业的监管: 中国证监会主要负责证券市场、证券业和投资基金的监管: 中国保监会主要负责保险市场和保险业的监管。监管权限高度集中于中央政府。
我国金融监管的特点:
(1) 分业监管的监管主体由于行业性质有所差异,故有相对的独立性和局限性
(2) 监管范围较为局限, 我国目前金融监管的主要内容是机构的审批和经营的合规性,对金融机构日常经营的风险性监管尚不规范和完善
(3) 金融机构的信息披露制度未完全建立
未来发展方向:监管理念——宏观审慎监管原则;建立统一协调的一体化金融监管体制宏观审慎框架微观审慎的总和不等于宏观审慎。微观审慎体现为每个金融机构都应保持自身的健康性,并通过监管来督促微观主体的健康性,但即使如此,健康的微观主体加起来也不能充分保证整体是健康的,主要原因在于: 危机的传染性、金融体系健康的衡量标准是需要不断进步完善的、非理性因素加上并非完全有效的市场易引发金融动荡。
《巴塞尔协议 III》包含了宏观审慎要素,其核心是,要求银行在经营状况良好时积累缓冲以各不时之需,通常包括资本留存缓冲和逆周期资本缓冲。建立宏观审慎框架将有助于降低银行乃至整个金融体系的顺周期性,增强金融体系应对系统性风险的能力,进而维护金融稳定。
19. 简述流动性升水假说。
流动性升水理论又称作流动性升水或流动性报酬理论,简称 LP 理论。该理论在纯预期理论的基础上,充分考虑了投资于债券的风险,认为长期债券的流动性低于短期债券,这是由于“持有长期债券确定是有风险的,而这一风险会随着债券到期日增长而增加。”
假定:该理论也承认不同期限债券是不能完全替代的。
结论:长期债券的利率等于其生命期限内短期债券利率水平的平均值加上流动性升水。
对收益曲线形状的解释:
如果预期未来短期利率上升,加上流动性升水,则使收益曲线陡峭地上升; 如果预期未来短期利率不变,加上流动性升水,收益曲线也会轻微地上升,而不是如纯粹预期假说所解释的那样收益曲线呈水平状;




