陈文登数学复习理工类官方习题答案重积分一
文件信息
文件来源
网络资源
文件作者
更新时间
2005-3-16 20:20:40
添加编辑
viewsnake
辅助信息
打印功能
打印本文
背景颜色
杏黄
秋褐
胭红
芥绿
天蓝
雪青
炭灰
奶白
字体大小
特大号字
大号字
中号字
小号字
免责声明
本网站所有文章均来自网络,仅提供预览形式,不提供纸张形式,若涉及到版权的文章,请购买正版,毕竟在电脑上看也不舒服啊,呵呵,这是viewsnake个人网站,纯粹交流学习资料的地方。无商业行为。
选择更多免费考研资料:
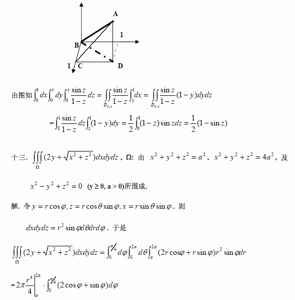
阅读正文内容
相关阅读内容
·
教育部:研究生推荐免试的相关政策和程序
·
2006年研究生入学考试数学(四)模拟试题
·
2006年研究生入学考试数学(三)模拟试题
·
2006年研究生入学考试数学(一)模拟试题
·
2006年研究生入学考试数学(二)模拟试题
·
考研名师童武谈搞好2006年数学考前复习的关键环节
·
考研数学名师李永乐谈复习方法及辅导书选择
·
清华大学名师谈考研:针对考试特点强化解题训练
·
名师经典:考研数学适合单选的技巧和方法
·
2005考研经济数学四轮全程复习安排及方略
<<<返回上一页
<<<返回网站首页
<<<您的位置:
首页
>
考研数学
>
数学指导
>正文