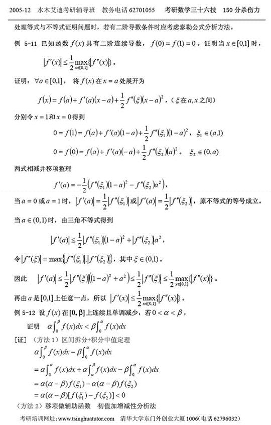
考研数学三十六技之等式与不等式证明技巧
文件信息
文件来源
文件作者
更新时间
2005-12-24 14:49:59
添加编辑
viewsnake
辅助信息
打印功能
打印本文
背景颜色
杏黄
秋褐
胭红
芥绿
天蓝
雪青
炭灰
奶白
字体大小
特大号字
大号字
中号字
小号字
免责声明
本网站所有文章均来自网络,仅提供预览形式,不提供纸张形式,若涉及到版权的文章,请购买正版,毕竟在电脑上看也不舒服啊,呵呵,这是viewsnake个人网站,纯粹交流学习资料的地方。无商业行为。
阅读正文内容
相关阅读内容
·
考研数学三十六技之导数与微分计算的特别考点
·
考研数学三十六之极限性质的正确运用
·
考研数学三十六之极限问题的快速分析与处理
·
李永乐谈考研数学后期复习重点:多做练习
·
考研数学三十六技 150分杀伤力摸底考试数四
·
考研数学三十六技 150分杀伤力摸底考试数三
·
考研数学三十六技 150分杀伤力摸底考试数二
·
考研数学三十六技 150分杀伤力摸底考试数一
·
蔡子华2006年春季高数讲义
·
数学基础差的,现在还不能保证130的都来看看
<<<返回上一页
<<<返回网站首页
<<<您的位置:
首页
>
考研数学
>
数学指导
>正文