中国海洋大学“985工程”和“211工程”,2017年9月入选国家“世界一流大学建设高校”(A类)。
在2017年的学科评估中,中国海洋大学法学排名B。


中国海洋大学2019年攻读硕士学位研究生招生简章
法律(非法学)全日制拟招收35人,非全日制拟招收40人
法律(法学)全日制拟招收40人,非全日制拟招收40人
注:各专业均不招收同等学力考生。万满意提醒推免5人,图中有显示。
中国海洋大学2018年攻读硕士学位研究生招生简章
法律(非法学)全日制拟招收28人,非全日制拟招收40人
法律(法学)全日制拟招收35人,非全日制拟招收40人
中国海洋大学2017年攻读硕士学位研究生招生简章
法律(非法学)全日制拟招收29人
法律(法学)全日制拟招收34人
法硕(法学、非法学)非全日制拟招收80人



2018年硕士研究生招考计划


中国海洋大学法硕分数线
2018年复试线法硕(法学)、法硕(非法学)同为315分,
2017年复试线法硕(法学)、法硕(非法学)同为310分,


2018年中国海洋大学第一志愿进入复试名单(全日制)








2018年中国海洋大学第一志愿进入复试名单(非全日制)

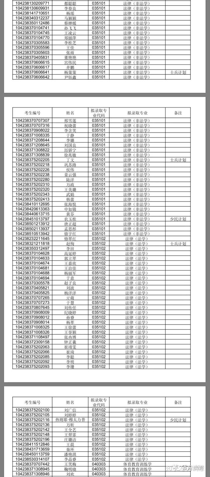
2018年中国海洋大学法硕录取名单


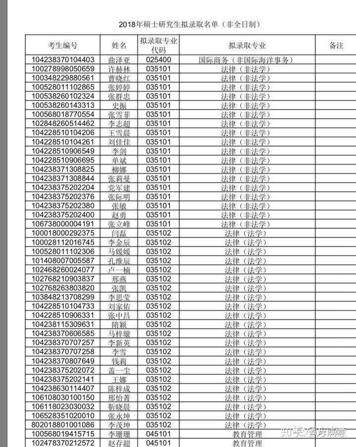
2018年中国海洋大学法硕录取名单(非全日制)

万满意总结
2018中国海洋大学复试名单法硕非法学44人,法硕法学47人
2018年中国海洋大学拟录取法硕非法学全日制40人(小满提醒只刷4人),
法硕法学38人(刷9人)
2018年中国海洋大学拟录取非全日制法硕非法学18人,
非全日制法硕法学22人。
由于数据的掩盖,无法核实具体录取名单的初试成绩,
只通过查找准考证号得知,法硕非法学录取名单里有低分319,320,325,330的成绩,
初步可以看出,法硕非法学只刷了4人,不知道为什么,小满总感觉怪怪的
是否有调剂呢,小满查看去年数据,并未有所发现,只有非全调剂。后来看到微博 的一条消息,最终确认,在文章最后。
中国海洋大学数据极为繁杂,前后整理时间超过6个小时,主要是其掩盖了真实初试线,和浙大,河南大学类似,希望能够帮到各位,同时也希望能够尊重原创分析。但各种细节可能不尽完善,希望大家能够补充更多信息。
初步预测中国海洋大学2019年的复试分数线依然是国家线
关于小满预测以及报考建议,在不分组的前提下,分享到朋友圈获3个赞或者转发到不少于200人的qq或微信法硕群获取。加小满微信q15773117761索要(已满)或者QQ791676517。备注格式:姓名+微博名+暨南分析+有时间间隔的截图。(手机时间和微信消息发出时间间隔)
入坑的童鞋,以上信息备注+入坑
2017年的原创声明

2018年的原创声明
无论是通过法学实力排名更好了解一个学校,还是通过连续几年招生简章对比,来窥探是否增减招生人数,还是通过复试名单与录取名单分数之间的人数差异,来窥探,真假分数线(小满去年在分析《浙江大学320,你想的美》中第一次发现和提出此种概念),以及复试真题的提醒,都是小满2017年分析了60多所院校经验总结所得,是慢慢形成的风格,之前数据可以查到相关痕迹,不是一次性就总结到的,具有方法的原创性和新颖性。
小满发誓和承诺,这种原创整理风格,从未借鉴任何机构或者个人,理应得到尊重,一些机构和个人把小满总结好的数据复制过去当作宣传,着实令人不齿,必要时,小满将发出律师函。
有些所谓的法硕数据分析,直接就是抄袭和模仿我的,找一下他们历史纪录就知道,2017年的院校分析在哪儿???
小满每一个院校整理都付出了小满极大心血与时间,希望将来成为法律人的童鞋们一起帮忙监督,欢迎举报。


